بازگشت سرمایه چیست؟ آموزش کامل محاسبه ROI

خلاصه مطلب
- بازگشت سرمایه یا ROI یک شاخص ساده در حوزه مالی است که نسبت سود یک سرمایهگذاری به سرمایه اولیه اختصاص یافته به آن را نشان میدهد.
- بازدهی بالا همیشه بهمعنای سودآوری بالا نیست. علیرغم ROI یکسان، ممکن است برخی از سرمایهگذاریها ریسک و نوسانات بیشتری داشته باشند.
- بازگشت سرمایه در بازار ارز دیجیتال همان سود یا ضرر یک ارز نسبت به مبلغ اولیه سرمایهگذاریشده در آن است و معمولا بهصورت درصد بیان میشود.
مقدمه
تقریبا در هر تصمیم مالی مثل خرید یک ملک، سهم یا سرمایهگذاری در یک دارایی، یک سوال اساسی در ذهن ما شکل میگیرد؛ آیا این سرمایهگذاری ارزشش را دارد؟ احتمالا شما در تصمیمگیریهایتان تنها به سود توجه میکنید، اما باید بدانید که سود بهتنهایی معیار مناسبی برای تصمیمگیری مالی یا سرمایهگذاری در یک دارایی نیست. برای مثال، ممکن است یک پروژه مالی ۹۰ میلیون تومان سود داشته باشد، اما اگر مبلغ سرمایهگذاریشده برای آن ۹۰۰ میلیون تومان (۱۰ برابر) باشد، این بازدهی چندان جالب نیست. در واقع، بازدهی که از این سرمایهگذاری حاصل شده فقط ۱۰٪ است. اینجاست که مفهوم بازگشت سرمایه (Return on Investment) یا بهاختصار ROI اهمیت پیدا میکند. در این مقاله از مجله نوبیتکس نحوه محاسبه ROI، تفاوت آن با سود و کاربرد آن در تصمیمهای مالی را یاد میگیرید.
بازگشت سرمایه (ROI) چیست؟

بازدهی، بازگشت سرمایه یا ROI یک شاخص مالی است که نشان میدهد سود یک سرمایهگذاری نسبت به سرمایه اولیه تعلق یافته به آن چقدر است. شاخص بازگشت سرمایه معمولا بهصورت درصد بیان میشود. به بیان ساده ROI به ما نشان میدهد که به ازای هر ۱۰۰ تومان سرمایهگذاری، چند تومان سود به دست میآوریم.
نکته مهم این است که نرخ بازگشت سرمایه بر اساس سود خالص محاسبه میشود، نه بر اساس درآمد کسبشده. درآمد، کل پولی است که از پروژه مالی یا یک سرمایهگذاری دریافت میکنید، اما سود خالص برابر است با درآمد منهای کل هزینههای اولیه. بنابراین، بازدهی یا بازگشت سرمایه نسبت سود خالص به سرمایه اولیه است.
بهعنوان مثال، فرض کنید ۲۰۰ میلیون تومان در یک دارایی سرمایهگذاری کردهاید و در پایان سال ۴۰ میلیون تومان سود خالص به دست آوردهاید. در این حالت بازدهی سرمایهگذاری شما ۲۰٪ است. یعنی سرمایه شما در این مدت ۲۰٪ رشد کرده است. این شاخص به شما کمک میکند تا سرمایهگذاریهای مختلف را با هم مقایسه کنید و بر اساس نرخ بازدهی آنها، تصمیم درست بگیرید. طبیعتا سرمایهگذاری در پروژهای که بازگشت سرمایه آن بیشتر است، عقلانیتر خواهد بود؛ البته این در شرایطی است که ریسک این دو پروژه باهم برابر باشد.
فرمول محاسبه ROI
فرمول محاسبه بازگشت سرمایه بهصورت زیر است:

در فرمول بالا:
- سود خالص برابر است با کل درآمد منهای کل هزینهها
- سرمایه اولیه برابر است با مبلغ کل که برای سرمایهگذاری پرداخت شده است
ضمنا در محاسبه سود خالص، باید تمام هزینهها مثل مالیات، کارمزد، هزینه نگهداری، تبلیغات، حقوق یا حتی استهلاک تجهیزات را لحاظ کنید. برای درک بهتر مفهوم بازدهی یا نرخ بازگشت سرمایه، یک مثال عددی میزنیم. فرض کنید یک فروشگاه اینترنتی راهاندازی کردهایم. کل سرمایهای که برای راهاندازی این فروشگاه پرداخت کردهایم ۲۰۰ میلیون تومان است:
- طراحی سایت: ۴۰ میلیون
- تبلیغات اولیه: ۳۰ میلیون
- خرید کالا: ۲۰۰ میلیون
- سایر هزینهها: ۳۰ میلیون
مجموع سرمایهگذاری: ۳۰۰ میلیون تومان
در طول یک سال، فروشگاه اینترنتی ما ۷۰۰ میلیون تومان فروش داشته است. در کنار این، هزینههایی که در این یک سال کردهایم (مثل ارسال، بستهبندی، کارمزد و…) تقریبا ۵۰ میلیون تومان است.
پس نرخ بازگشت سرمایه برای آنلاین شاپ ما در طول سال گذشته به این صورت محاسبه میشود:
سود خالص:
۷۰۰ – (۳۰۰ + ۵۰) = ۳۵۰ میلیون
محاسبه ROI:

یعنی نرخ بازگشت سرمایه ما حدود ۵۰٪ است.
محاسبه بازگشت سرمایه در خرید ارز دیجیتال

همانند تصمیمهای مالی دیگر، در زمان خرید ارز دیجیتال نیز باید به مفهوم بازدهی یا ROI دقت کرد. در دنیای کریپتو، بازگشت سرمایه نسبت سود یا ضرر به سرمایه اولیه اختصاص یافته به یک رمزارز است و معمولا بهصورت درصد بیان میشود. نرخ بازگشت سرمایه در ارزهای دیجیتال به ما نشان میدهد که عملکرد یک رمزارز در یک مدت مشخص چگونه بوده است. در بازار، عوامل مختلف از جمله نوسانات بازار، اخبار و رویدادهای مهم، رفتار نهنگها و مدت زمان نگهداری یک ارز در بازگشت سرمایه سبد کریپتو موثر است.
برای محاسبه ROI یک ارز دیجیتال، اختلاف بین قیمت خرید و قیمت فعلی (سود خالص) را بر قیمت خرید تقسیم کرده و حاصل را در ۱۰۰ ضرب میکنیم. اگر قیمت افزایش یافته باشد، ROI مثبت خواهد بود و نشاندهنده سود است. برعکس، اگر عدد به دست آمده منفی باشد، این یعنی قیمت آن ارز دیجیتال کاهش یافته و ما متحمل ضرر شدهایم.
نکته مهم این است که، در بازار ارز دیجیتال بازگشت سرمایه بالا همیشه بهمعنای سرمایهگذاری درست و سودآوری بالا نیست؛ چون معمولا رمزارزهایی که بازدهی بالایی دارند، با ریسک بیشتری نیز همراهاند. ارزهایی مثل میم کوینها در کوتاهمدت نرخ بازگشت سرمایه بالایی دارند، اما در اصلاحها و فازهای نزولی کاهش قیمت آنها شدیدتر است. علاوه بر این، نوسانات قیمت در بازار ارز شدید است و بههمین دلیل، مدیریت ریسک و داشتن استراتژی مشخص در این بازار بسیار مهم است.
فرمول محاسبه بازگشت سرمایه (ROI) برای ارزهای دیجیتال:

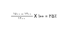
بهعنوان مثال، اگر یک ارز دیجیتال را در قیمت ۱,۲۰۰ دلار خریده باشید و الان قیمت آن ۱,۶۰۰ دلار باشد، محاسبه بازگشت سرمایه آن بهصورت زیر خواهد بود:

این یعنی شما با خرید این ارز دیجیتال ۳۰۰ دلار سود کردهاید و بازدهی این سرمایهگذاری ۲۵٪ است.
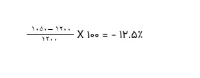
حالا اگر قیمت این ارز دیجیتال به ۱,۰۵۰ دلار برسد، ROI آن بهصورت زیر خواهد بود:

یعنی بازدهی این سرمایهگذاری ۱۲.۵٪- است و شما ۱۵۰ دلار ضرر کردهاید.
دوره بازگشت سرمایه و تفاوت آن با ROI
در کنار شاخص بازگشت سرمایه (ROI)، مفهومی به نام دوره بازگشت سرمایه نیز داریم که کمی با خود ROI متفاوت است. دوره بازگشت سرمایه، مدت زمانی است که طول میکشد تا اصل سرمایه اولیه به ما برگردد. به زبان ساده، این شاخص نشان میدهد که چه زمانی اصل پول به ما بر میگردد و سرمایهگذاری ما وارد سوددهی خالص میشود. بنابراین، ROI یا بازگشت سرمایه درصد سودآوری نسبت به سرمایه اولیه است؛ اما دوره بازگشت سرمایه مدت زمان لازم برای برگشت اصل پول است.
برای مثال، اگر ۲۰۰ میلیون تومان در یک دارایی سرمایهگذاری کرده باشید و این دارایی سالانه ۵۰ میلیون سود خالص برای شما داشته باشد، دوره بازگشت این سرمایهگذاری ۴ سال خواهد بود؛ یعنی پس از ۴ سال، اصل پول سرمایهگذاریشده در قالب سود به شما برمیگردد. البته این در صورتی است که نرخ بازگشت سرمایه در این ۴ سال ثابت باشد. مثلا سود خالص شما در دو سال اول ۵۰ میلیون و در سال سوم ۱۰۰ میلیون باشد، دوره بازگشت سرمایه ۳ سال خواهد بود.
فرمول محاسبه دوره بازگشت سرمایه ساده است و بهصورت زیر محاسبه میشود:

برای مثال، فرض کنید ۳۰۰ میلیون در یک پروژه سرمایهگذاری کردهایم و سالانه ۶۰ میلیون از آن سود کسب میکنیم. در این صورت دوره بازگشت سرمایه ما ۵ سال خواهد بود:

اگر جریان نقدی یا سود سالانه ما در هر سال متفاوت باشد، باید کل دوره بازگشت سرمایه را بهصورت تجمعی حساب کنیم. فرض کنید سود سالانه ما در ۴ سال اول به این صورت است:
سال اول = ۴۰ میلیون
سال دو = ۷۰ میلیون
سال سوم = ۹۰ میلیون
سال چهارم = ۱۰۰ میلیون
سود تجمعی در هر سال بهصورت زیر خواهد بود:
سال اول = ۴۰ میلیون
سال دوم = ۱۱۰ میلیون
سال سوم = ۲۰۰ میلیون
سال چهارم = ۳۰۰ میلیون
بنابراین، در پایان سال چهارم اصل پول اولیه به ما برمیگردد.
نکته منفی درباره دوره بازگشت سرمایه این است که در محاسبه آن ارزش زمانی پول و تورم سالیانه در نظر گرفته نمیشود. در نتیجه، برای محاسبه دقیقتر سود و بازدهی بلندمدت باید این مفاهیم را نیز در نظر بگیرید.
مزیتها و محدودیتهای شاخص ROI

بازگشت سرمایه یک شاخص ساده و قابل فهم است. در این فرمول نیازی به محاسبات پیچیده نیست و تنها با چند جایگذاری ساده میتوان بازدهی یک دارایی را محاسبه کرد. بهکمک شاخص ROI میتوان چند پروژه یا دارایی را در کمترین زمان باهم مقایسه کرد. این کار کمک میکند که تصمیمگیریهای خود را بدون هیجان و بر اساس دادههای آماری انجام دهید. شاخص بازگشت سرمایه در حوزههای مختلف مثل بازارهای مالی، پروژههای سرمایهگذاری، بازار ارز دیجیتال و بازاریابی استفاده میشود.
با این حال شاخص ROI محدودیتهایی هم دارد. مهمترین ایراد بازگشت سرمایه این است که ارزش زمانی پول و تورم سالیانه را در نظر نمیگیرد. سودی که الان به دست میآید، با سودی که چندین سال بعد حاصل میشود متفاوت است، اما این تفاوت در بازگشت سرمایه لحاظ نمیشود. نکته دوم، بیتوجهی به مدت زمان سرمایهگذاری است. ممکن است دو پروژه ROI یکسان داشته باشند، اما یکی در طی یک سال و دیگری در طی چهار سال به آن بازده برسد. این تفاوت زمانی نیز در بازگشت سرمایه در نظر گرفته نمیشود. نهایتا، ریسک بخش مهمی از هر تصمیم مالی است. سرمایهگذاریهای مختلف سطح ریسک متفاوتی دارند. شاخص ROI ریسک سرمایهگذاری را در نظر نمیگیرد.
جمعبندی
بازدهی، بازگشت سرمایه یا ROI یکی ازشاخصهای ساده و در عین حال بسیار کاربردی در ارزیابی عملکرد مالی است. این شاخص نشان میدهد که سرمایهگذاری ما تا چه حد سودآور بوده است و در واقع به این سوال پاسخ میدهد که آیا ارزشش را دارد در موقعیت مورد نظر سرمایهگذاری کنیم یا خیر. در این مطلب بهطور خلاصه گفتیم که نرخ بازگشت سرمایه چیست، چگونه محاسبه میشود و چه تفاوتی با دوره بازگشت سرمایه دارد. دقت کنید که ROI بهتنهایی شاخص کاملی برای تصمیمگیریهای مالی نیست. برای نتیجه بهتر باید بازگشت سرمایه را با شاخصهای مختلف دیگر ترکیب کنید. علاوه بر این، همیشه باید سطح ریسک دارایی یا پروژهای که قصد سرمایهگذاری در آن را دارید، ارزیابی کنید.
سوالات متداول
بازگشت سرمایه یا بازدهی نسبت سود به سرمایه اولیه است، اما دوره بازگشت سرمایه زمان مورد نیاز برای بازگشت اصل پول به سرمایهگذار است.
شاخص بازگشت سرمایه بهتنهایی برای تصمیمگیری کافی نیست و باید در کنار سایر شاخصها و عواملی مثل ریسک و مدت سرمایهگذاری بررسی شود.
برای محاسبه درصد بازگشت سرمایه یک ارز دیجیتال، تفاوت قیمت خرید و قیمت فعلی ارز را بر قیمت خرید تقسیم کرده و حاصل را در ۱۰۰ ضرب میکنیم.



